2019韓國語學堂開課時間、申請時間、學費……..等相關資訊
飛鷹遊學直接幫大家整理如下,不要慢慢找,直接看這一目了然~
一起來去韓國學韓文,找歐巴![]()
![]()
因韓國遊學在韓國語學堂有固定申請時間,請注意申請時間,不要錯過囉
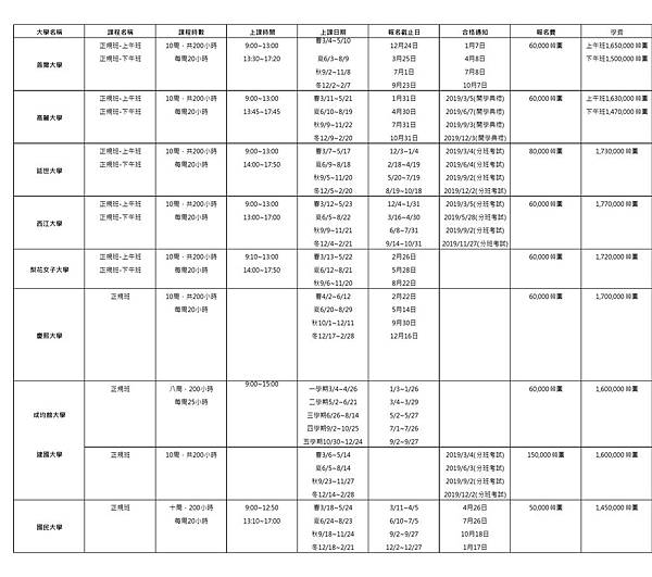
(內文圖表手指點開就會放大喔)

2019韓國語學堂正規課程
2019韓國語學堂暑假短期課程
更多韓國遊學詳細資訊請洽飛鷹遊學
LINE@:eva8200o(前面一定要加一個「@」,,最後一個是英文的o)
LINE:flyeagle247 (每天24小時服務)
skype/微信:flyeagle247
電話:02-2331-1115; 0982-022-366
email:info@flyeagle-study.com
粉絲頁:www.facebook.com/flyeaglestudy/ (歡迎按讚分享,感恩~)


